Christbaumbeleuchtung
Zur Zeit befinden sich 200 500 LEDs auf dem Baum, die einzeln adressiert werden können (und theoretisch je 65k Farben darstellen können). Die LEDs befinden sich an folgenden Positionen (aktualisiert am 23.11.):
Der Nullpunkt des Koordinatensystems befindet sich am Boden mittig unter dem Stamm, die $z$-Achse nach oben).
Darstellung der 3-dimensionalen Punkte
Aktueller Code: vector-class.zip
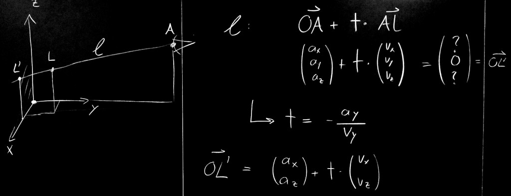
Die Punkte werden von einem Augpunkt $A$ auf die $x/z$-Ebene projiziert. Typischerweise ist $A=(0,300,160)$, d.h. man steht 3 m vor dem Baum.
- Ergänzen Sie die Vektorklasse um eine Methode
projectxz(self, a)die den projizierten Punkt als zwei-dimensionalen Vektor in der $x/z$-Ebene liefert. - Stellen Sie so den Baum einmal dar.
Damit wir uns um den Baum bewegen können, müssten wir auf andere Ebenen projizieren. Es ist aber einfacher einfach den Baum zu drehen. Ein Punkt $(x,y)$ wird wie folgt mit dem Winkel $\alpha$ um den Ursprung gedreht: $$ \begin{array}{rcl} x' & = & \cos(\alpha)x - \sin(\alpha)y \\ y' & = & \sin(\alpha)x + \cos(\alpha)y \\ \end{array} $$
- Ergänzen Sie die Vektorklasse um eine Methode
rotatexy(self, alpha), die den um den Winkel $\alpha$ um die $z$-Achse gedrehten Vektor liefert. - Stellen Sie den rotierenden Baum dar.
Farben
- hsvtorgb.py
# from https://stackoverflow.com/questions/24852345/hsv-to-rgb-color-conversion # Input: Dezimalzahlen zwischen 0.0 und 1.0 # Output: Dezimalzahlen zwischen 0.0 und 1.0 def hsv_to_rgb(h, s, v): if s == 0.0: return (v, v, v) i = int(h*6.) # XXX assume int() truncates! f = (h*6.)-i; p,q,t = v*(1.-s), v*(1.-s*f), v*(1.-s*(1.-f)); i%=6 if i == 0: return (v, t, p) if i == 1: return (q, v, p) if i == 2: return (p, v, t) if i == 3: return (p, q, v) if i == 4: return (t, p, v) if i == 5: return (v, p, q)
In TigerJython
setColor(r,g,b) # Achtung, r,g,b müssen Ganzzahlen von 0-255 sein (z.B. setColor(int(r), int(g), int(b))
Animation
Programmieren Sie eine Funktion farbe(t,v), wobei $t$ die Zeit in Sekunden und $v$ die Position einer LED ist. Die Funktion berechnet dazu die Farbe, die dann auf dem Baum dargestellt werden soll.
Neuerungen im Code:
- Positionen sind in der Datei posdata.py gespeichert und werden mit import in den Code eingebunden.
- Code zur Umwandlung hsv→rgb eingebunden
- Zeitmessung (import time)
- Funktion, die die Farbe setzt
Aktueller Code: vector-class.zip
Aktueller C++ Code vom «echten» Christbaum: https://github.com/techlabksbg/xmastree

